首页
返回
登录
|
注册
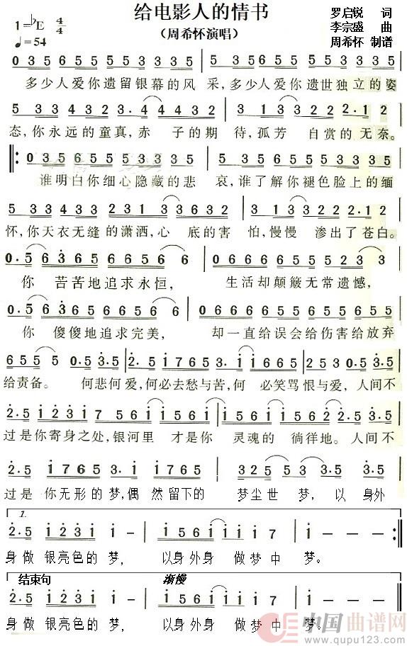
曲谱:给电影人的情书(周希怀演唱)
作词:
罗启锐
作曲:
李宗盛
演唱(奏):
周希怀 制谱
来源:
谱友周0001上传
上传:
周0001
加入收藏
返回
版权声明:
中国曲谱网所有曲谱及资料均为作者提供或网友推荐收集整理而来,仅供爱好者学习和研究使用,版权归原作者所有。如本站内容有侵犯您的合法权益,请和我们取得联系,我们将立即改正或删除。
首页
关于曲谱大全
联系方式
求谱论坛