用户名: 密码: 免费注册 忘记密码?
收藏本站| 网站帮助| 谱友留言| 上传曲谱| 首页
瓦莲金娜个人制谱园地
http://www.qupu123.com/space/25
作品详情

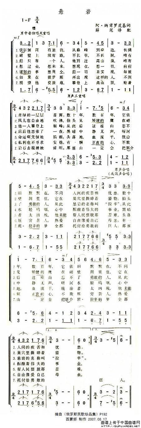
悬岩(俄)

格式:简谱   来源:谱友瓦莲金娜 转发   上传:瓦莲金娜   日期:2010-06-05   浏览次数:  
发送到我的邮箱 打包下载 全屏查看 手机看谱 加入收藏 发表评论
提示:在曲谱图片上单击右键,选择"图片另存为..."即可将曲谱保存到您的电脑中,打印时候可将图片插入到WORD中,调整合适大小打印即可。
悬岩(俄)(1)_原文件名:悬岩[俄]1.jpg
点击查看剩余 1 张曲谱
关于《悬岩》曲谱的评论
此曲谱暂无评论,欢迎发表您的见解。
发表评论 必须登录后才能发表评论,还未注册?
您还未登录 用户名: 密码:
Copyright © 2013 www.qupu123.com All Rights Reserved 瓦莲金娜 版权所有 未经作者允许,请勿转载。