提示:在曲谱图片上单击右键,选择“图片另存为...”即可将曲谱保存到您的电脑中,打印时候可将图片插入到WORD中,调整合适大小打印即可。
《辞行》文本歌词
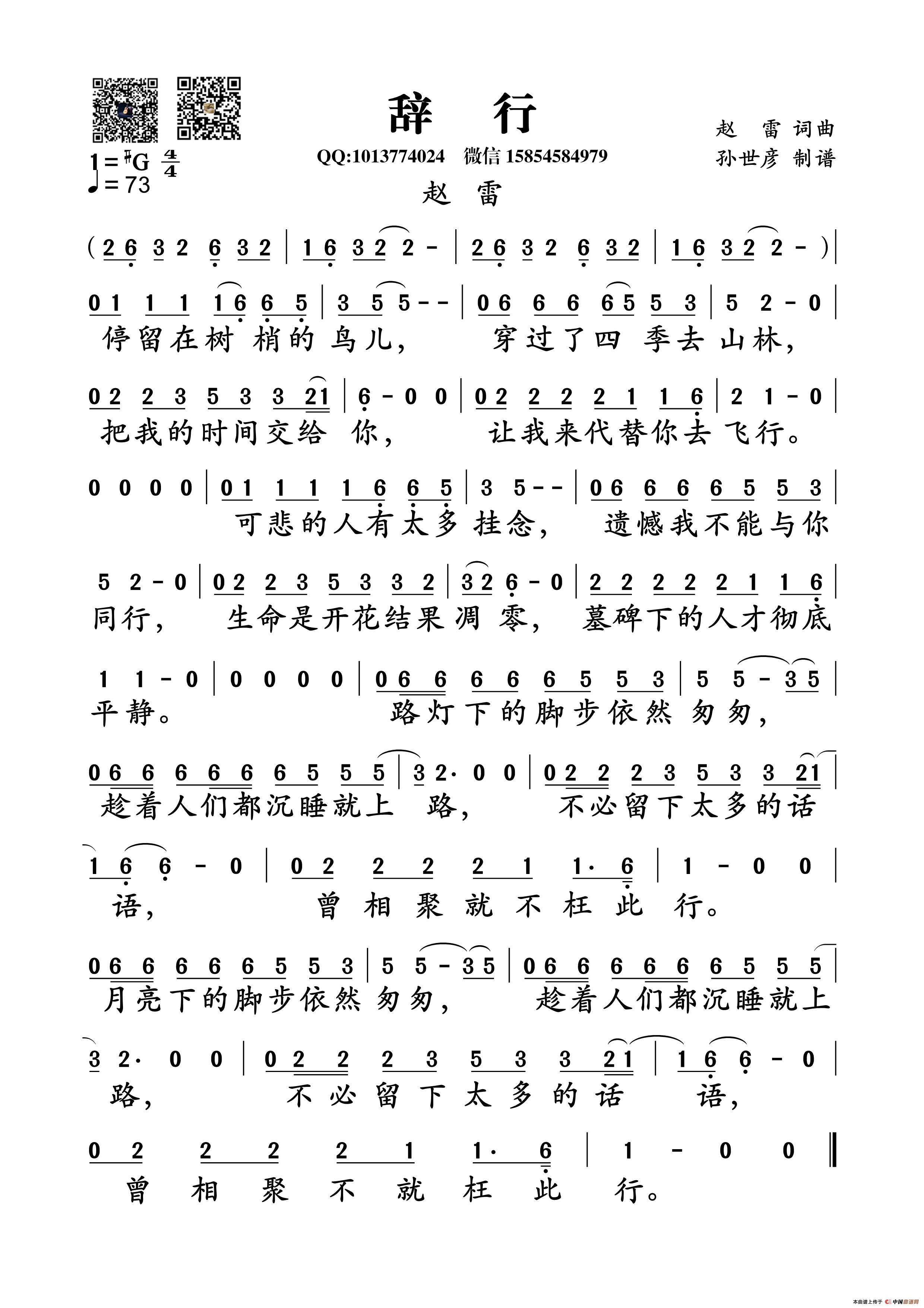
辞行
赵雷词曲
停留在树梢的鸟儿,
穿过了四季去山林,
把我的时间交给你,
让我来代替你去飞行。
可悲的人有太多挂念,
遗憾我不能与你同行,
生命是开花结果凋零,
墓碑下的人才彻底平静。
路灯下的脚步依然匆匆,
趁着人们都沉睡就上路,
不必留下太多的话语,
曾相聚就不枉此行。
月亮下的脚步依然匆匆,
趁着人们都沉睡就上路,
不必留下太多的话语,
曾相聚不就枉此行。
关于《辞行》曲谱的评论
此曲谱暂无评论,欢迎发表您的见解。


