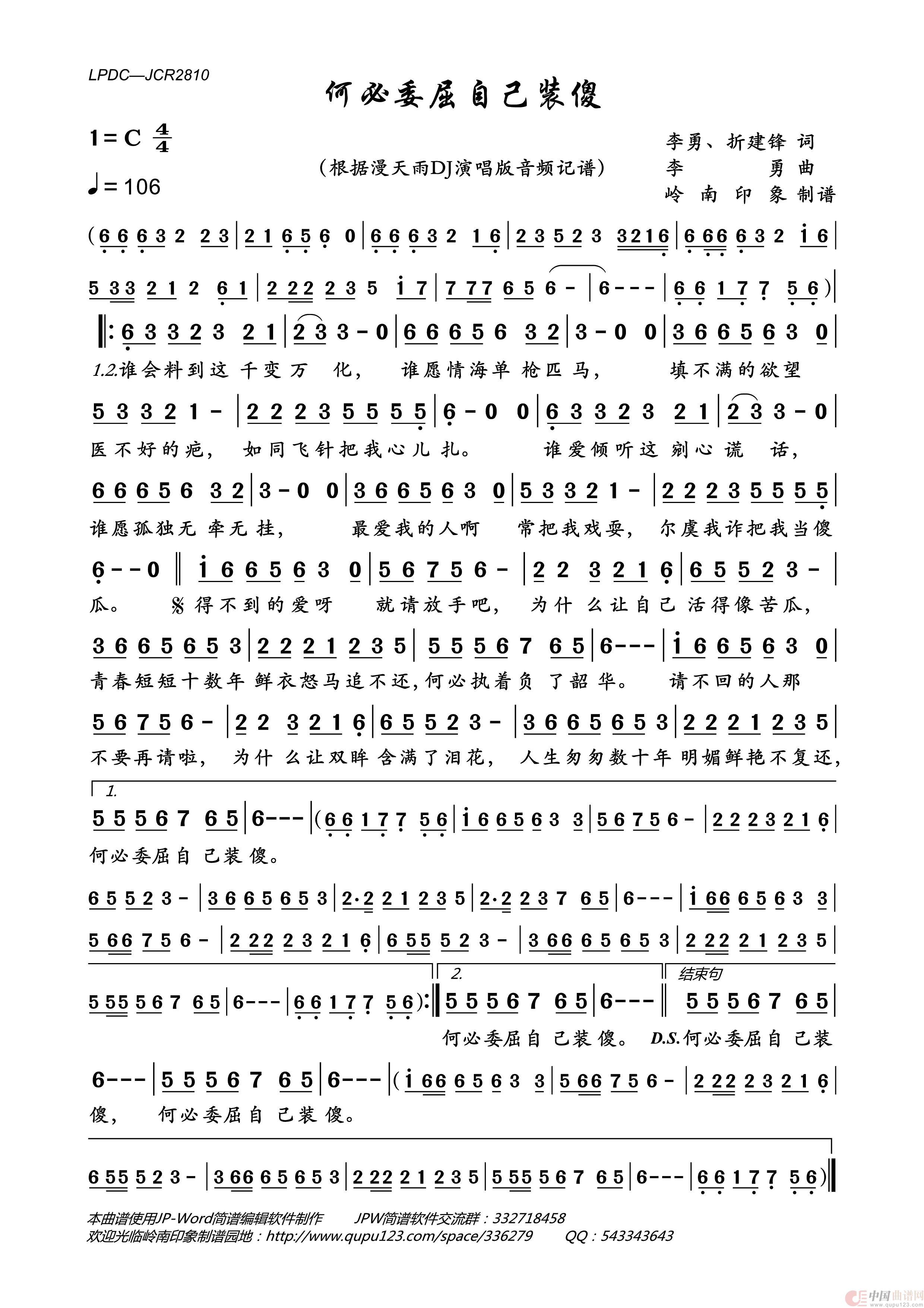
《何必委屈自己装傻》文本歌词
李勇、折建锋词
李勇曲
漫天雨演唱
Music…
1. 谁会料到这千变万化,
谁愿情海单枪匹马,
填不满的欲望医不好的疤,
如同飞针把我心儿扎。
谁爱倾听这剜心谎话,
谁愿孤独无牵无挂,
最爱我的人啊常把我戏耍,
尔虞我诈把我当傻瓜。
得不到的爱呀就请放手吧,
为什么让自己活得像苦瓜,
青春短短十数年鲜衣怒马追不还,
何必执着负了韶华。
请不回的人那不要再请啦,
为什么让双眸含满了泪花,
人生匆匆数十年明媚鲜艳不复还,
何必委屈自己装傻。
Music…
2. 谁会料到这千变万化,
谁愿情海单枪匹马,
填不满的欲望医不好的疤,
如同飞针把我心儿扎。
谁爱倾听这剜心谎话,
谁愿孤独无牵无挂,
最爱我的人啊常把我戏耍,
尔虞我诈把我当傻瓜。
得不到的爱呀就请放手吧,
为什么让自己活得像苦瓜,
青春短短十数年鲜衣怒马追不还,
何必执着负了韶华。
请不回的人那不要再请啦,
为什么让双眸含满了泪花,
人生匆匆数十年明媚鲜艳不复还,
何必委屈自己装傻。
3. 得不到的爱呀就请放手吧,
为什么让自己活得像苦瓜,
青春短短十数年鲜衣怒马追不还,
何必执着负了韶华。
请不回的人那不要再请啦,
为什么让双眸含满了泪花,
人生匆匆数十年明媚鲜艳不复还,
何必委屈自己装傻,
何必委屈自己装傻。
Music…
