宝坻在我心坎上
提示:在曲谱图片上单击右键,选择“图片另存为...”即可将曲谱保存到您的电脑中,打印时候可将图片插入到WORD中,调整合适大小打印即可。
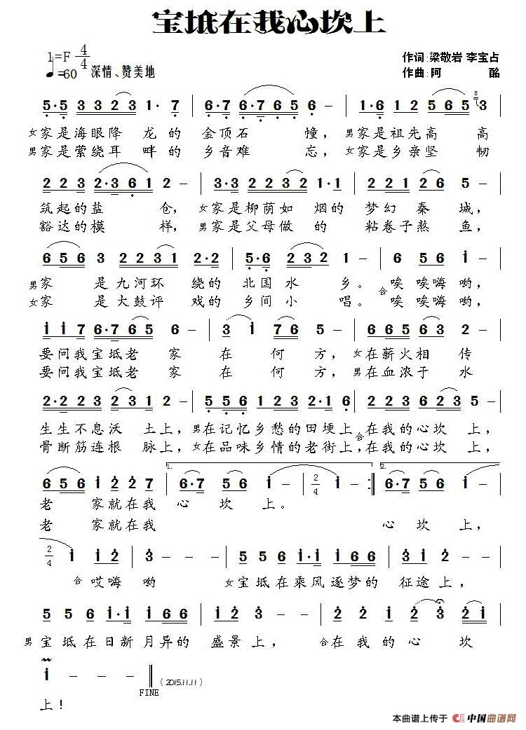
应邀为宝坻创作参加中央电视台展播的乡情歌曲!
《宝坻在我心坎上》文本歌词
宝坻在我心坎上
---应邀为宝坻创作参加中央电视台展播的乡情歌曲!
作词:梁敬岩 李宝占
作曲:阿酩
演唱:王力宏
家是海眼降龙的金顶石幢
家是祖先高高筑起的盐仓
家是柳荫如烟的梦幻秦城
家是九河环绕的北国水乡
唉唉嗨吆!
要问我宝坻老家在何方
在薪火相传生生不息沃土上
在记忆乡愁的田埂上
在我心坎上
老家就在我心坎上
家是萦绕耳旁的乡音难忘
家是乡亲坚韧豁达的模样
家是父母做的粘卷子熬鱼
家是大鼓评戏的乡间小唱
唉唉嗨吆!
要问我宝坻老家在何方
在血浓于水骨断筋连根脉上
在品味乡情的老街上
在我心坎上
老家就在我心坎上
唉嗨吆!
宝坻在乘风追梦的征途上
宝坻在日新月异的盛景上
在我的心坎上!
关于《宝坻在我心坎上》曲谱的评论
此曲谱暂无评论,欢迎发表您的见解。


