提示:在曲谱图片上单击右键,选择“图片另存为...”即可将曲谱保存到您的电脑中,打印时候可将图片插入到WORD中,调整合适大小打印即可。
《庐山恋歌》文本歌词
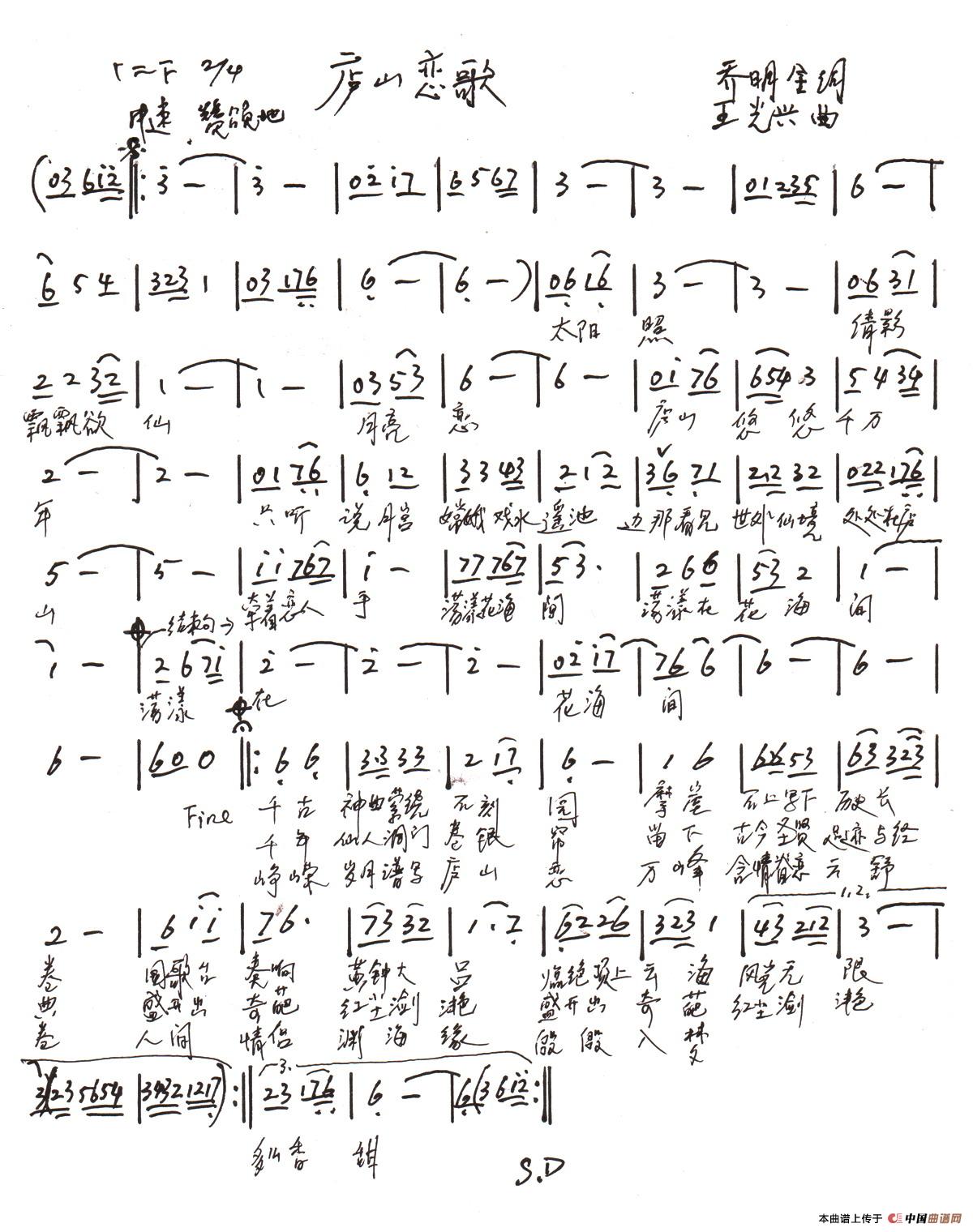
《庐山恋歌》
作词 乔明全
作曲 王光兴
演唱 王莹
太阳照倩影飘飘欲仙
月亮恋庐山悠悠千万年
只听说月宫嫦娥戏水遥池边
那看见世外仙境处处在庐山
牵着恋人手蕩漾花海间
千古神曲萦绕石刻园
摩崖石上写下历史长卷
国歌台奏响黄钟大吕
临绝顶上云海风光无限
千年仙人洞门卷银帘
留下古今圣贤足迹与经典
盛开出奇葩红尘潋滟
峥嵘岁月谱写庐山恋
万峰含情眷恋云舒卷
人间情侣渊海缘
殷殷入梦多么香甜
太阳照倩影飘飘欲仙
月亮恋庐山悠悠千万年
只听说月宫嫦娥戏水遥池边
那看见世外仙境处处在庐山
牵着恋人手蕩漾花海间
荡漾在花海间
关于《庐山恋歌》曲谱的评论
青天月亮
2015-07-26 20:26
歌唱家王莹老师演唱的《庐山恋歌》是荣获全国金奖并KTV上架的歌曲!也是首次与老师合作的歌曲。足以证明老师歌唱艺术精湛,演绎作品达到艺术品鉴境界!谢谢老师! [回复]
青天月亮
2015-07-26 20:19
衷心感谢歌唱家王莹老师与我精诚合作了多首首唱歌曲!歌唱家用音乐才华精湛演绎出每首歌曲的精彩和优美!使人听到优美抒情弦律就看到了春天的娇艳花朵和秋天的飘香果实!十分敬佩老师展示的音乐精彩! [回复]



