提示:在曲谱图片上单击右键,选择“图片另存为...”即可将曲谱保存到您的电脑中,打印时候可将图片插入到WORD中,调整合适大小打印即可。
《老师你好吗?》文本歌词
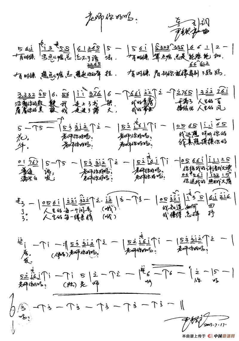
老师你好吗
作 词: 车 行
作 曲: 尹铁良
有时候写点啥我总忘不了语法
有时候算点啥我总是能除能加
沿着你的教鞭我走上了书架
我的青春开满了人生的百花
老师你好吗
我还想听听你的普通话
你给伟大评语我又读了
人生的每一个问号我知道如何回答
有时候想点啥总想起你的牵挂
有时候看到你就像看到了妈妈
看着你的黑板我走进了博大
我的事业描绘出人生的风华
老师你好吗你好吗
我真想摸摸你的白头发
你送我的照片我又看了
人生的每一缕亲情我懂得怎样抒发
关于《老师你好吗?》曲谱的评论
此曲谱暂无评论,欢迎发表您的见解。



