月明之夜
提示:在曲谱图片上单击右键,选择“图片另存为...”即可将曲谱保存到您的电脑中,打印时候可将图片插入到WORD中,调整合适大小打印即可。
《月明之夜》文本歌词
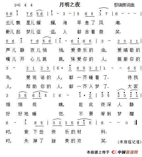
1=G 4/ 4 月明之夜 黎锦辉词曲
云儿飘星儿耀耀海早息了风潮.
声儿静夜儿悄悄爱奏乐的虫
爱唱歌的鸟爱说话的人都一齐睡着了.
待我细细观瞧趁此夜深人静时
做下些快乐的材料.
鼾儿起梦儿迢迢人都含着微笑.
嘴儿开心儿跳
跳殊爱你的人佩服你的人 帮助你的人都一齐入梦了.
大家好好地睡觉. 要等到梦醒时
失掉了甜美的欢笑.
关于《月明之夜》曲谱的评论
此曲谱暂无评论,欢迎发表您的见解。


