提示:在曲谱图片上单击右键,选择“图片另存为...”即可将曲谱保存到您的电脑中,打印时候可将图片插入到WORD中,调整合适大小打印即可。
《远走高飞》文本歌词
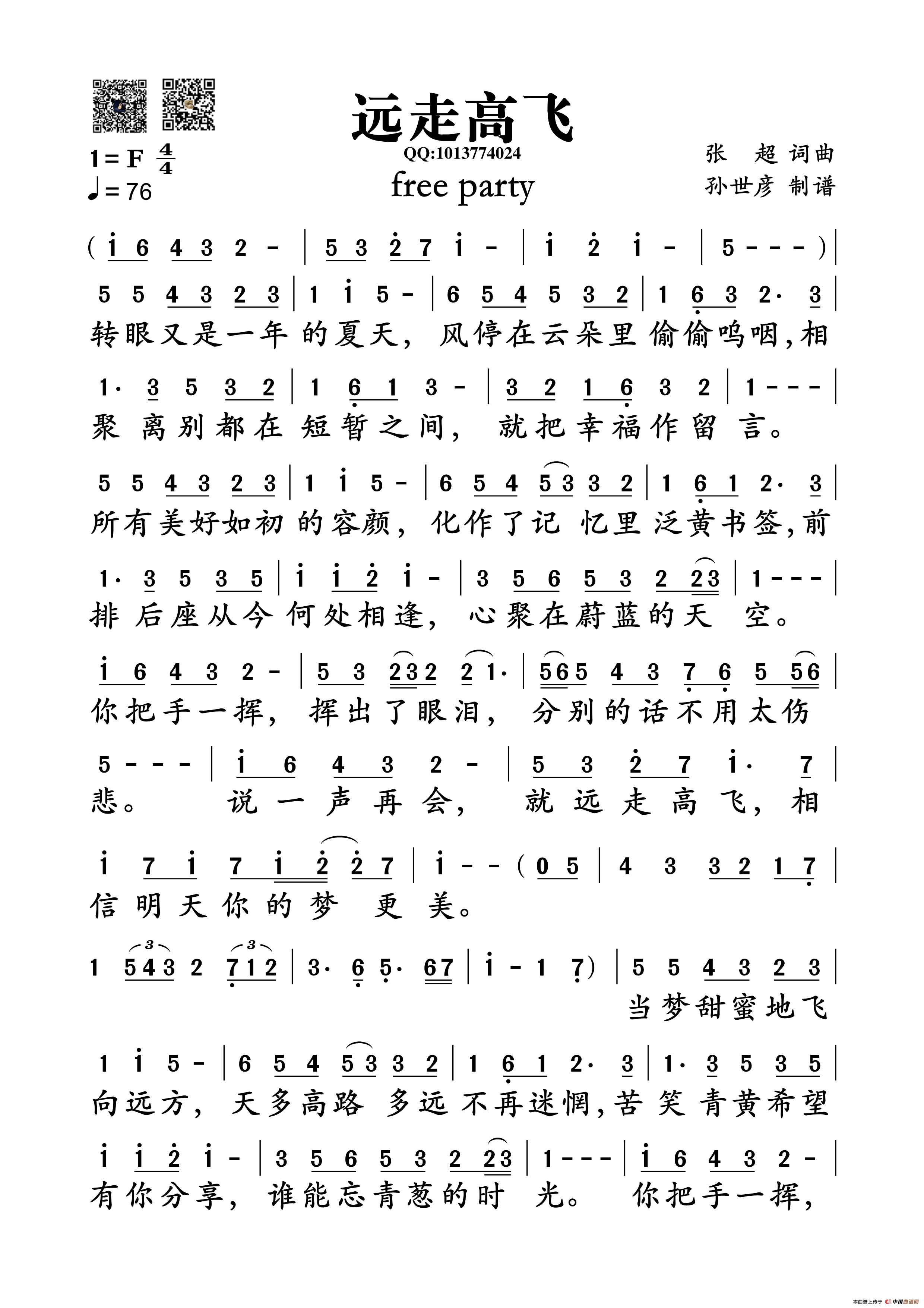
远走高飞
词曲:张超 制谱:孙世彦 演唱:free party
转眼又是一年的夏天
风停在云朵里偷偷呜咽
相聚 离别 都在短暂之间
就把幸福作留言
所有美好如初的容颜
化作了记忆里泛黄书签
前排 后座 从今何处相逢
心聚在蔚蓝的天空
你把手一挥 挥出了眼泪
分别的话不用太伤悲
说一声再会 就远走高飞
相信明天你的梦更美
当梦甜蜜地飞向远方
天多高路多远不再迷惘
苦笑 青黄 希望有你分享
谁能忘青葱的时光
你把手一挥 挥出了眼泪
分别的话不用太伤悲
说一声再会 就远走高飞
相信明天你的梦更美
关于《远走高飞》曲谱的评论
此曲谱暂无评论,欢迎发表您的见解。


