提示:在曲谱图片上单击右键,选择“图片另存为...”即可将曲谱保存到您的电脑中,打印时候可将图片插入到WORD中,调整合适大小打印即可。
《七秒记忆的鱼 》文本歌词
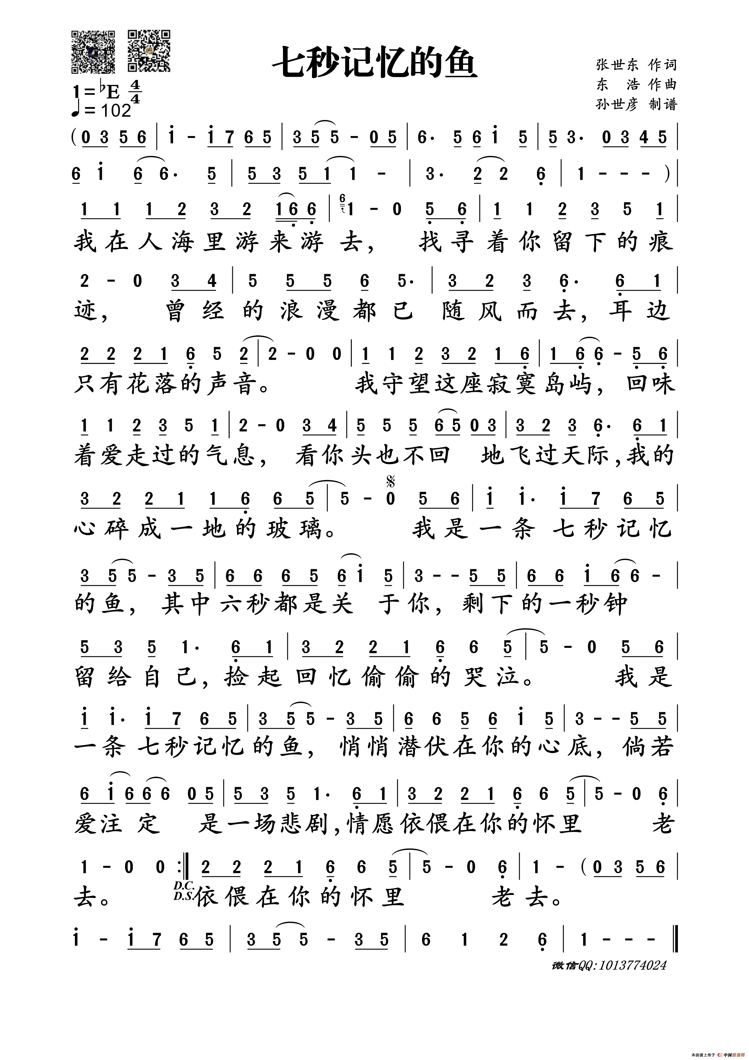
七秒记忆的鱼
作词:张世东
作曲:东浩
制谱:孙世彦
我在人海里游来游去,
找寻着你留下的痕迹,
曾经的浪漫都已随风而去,
耳边只有花落的声音。
我守望这座寂寞岛屿,
回味着爱走过的气息,
看你头也不回地飞过天际,
我的心碎成一地的玻璃。
我是一条七秒记忆的鱼,
其中六秒都是关于你,
剩下的一秒钟留给自己,
捡起回忆偷偷的哭泣。
我是一条七秒记忆的鱼,
悄悄潜伏在你的心底,
倘若爱注定是一场悲剧,
情愿依偎在你的怀里老去。
关于《七秒记忆的鱼 》曲谱的评论
此曲谱暂无评论,欢迎发表您的见解。


