提示:在曲谱图片上单击右键,选择“图片另存为...”即可将曲谱保存到您的电脑中,打印时候可将图片插入到WORD中,调整合适大小打印即可。
《Goodbye Love》文本歌词
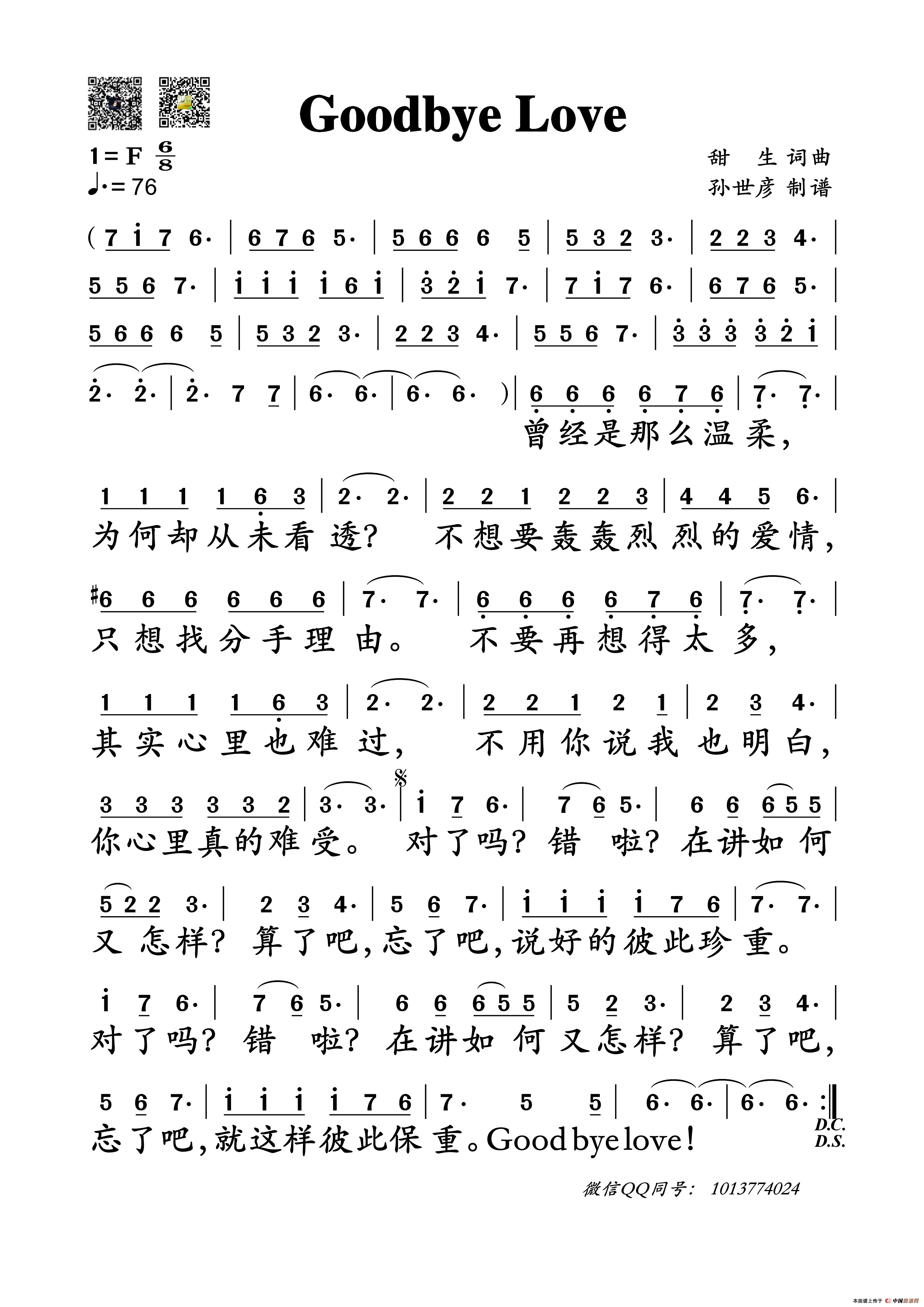
Goodbye Love
词曲:甜生
演唱:令音之翼
制谱:孙世彦
曾经是那么温柔,
为何却从未看透?
不想要轰轰烈烈的爱情,
只想找分手理由。
不要再想得太多,
其实心里也难过,
不用你说我也明白,
你心里真的难受。
对了吗?错啦?
在讲如何又怎样?
算了吧,忘了吧,
说好的彼此珍重。
对了吗?错啦?
在讲如何又怎样?
算了吧,忘了吧,
就这样彼此保重。
Goodbye love!
关于《Goodbye Love》曲谱的评论
此曲谱暂无评论,欢迎发表您的见解。


