提示:在曲谱图片上单击右键,选择“图片另存为...”即可将曲谱保存到您的电脑中,打印时候可将图片插入到WORD中,调整合适大小打印即可。
《可能否》文本歌词
抖音
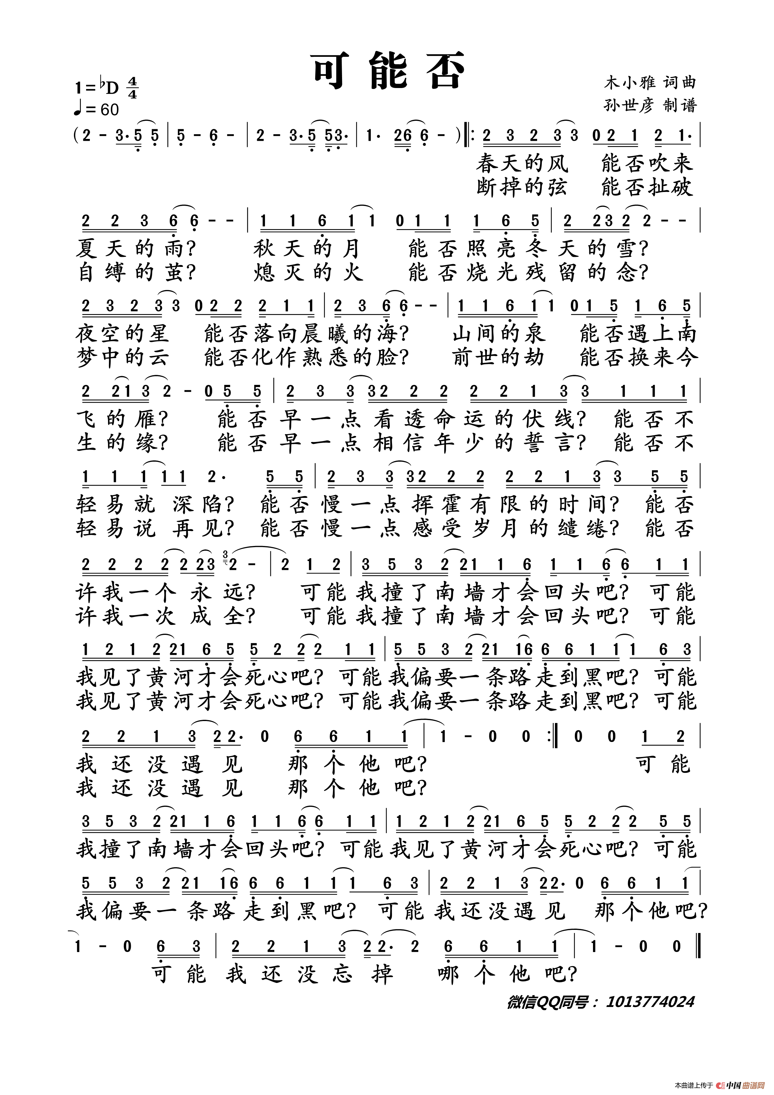
木小雅 可能否
作词 : 木小雅
作曲 : 木小雅
演唱:木小雅
制谱:孙世彦
春天的风能否吹来夏天的雨?
秋天的月能否照亮冬天的雪?
夜空的星能否落向晨曦的海?
山间的泉能否遇上南飞的雁?
能否早一点看透命运的伏线?
能否不轻易就深陷?
能否慢一点挥霍有限的时间?
能否许我一个永远?
可能我撞了南墙才会回头吧?
可能我见了黄河才会死心吧?
可能我偏要一条路走到黑吧?
可能我还没遇见 那个他吧?
断掉的弦能否扯破自缚的茧?
熄灭的火能否烧光残留的念?
梦中的云能否化作熟悉的脸?
前世的劫能否换来今生的缘?
能否早一点相信年少的誓言?
能否不轻易说再见?
能否慢一点感受岁月的缱绻?
能否许我一次成全?
可能我撞了南墙才会回头吧?
可能我见了黄河才会死心吧?
可能我偏要一条路走到黑吧?
可能我还没遇见那个他吧?
可能我撞了南墙才会回头吧?
可能我见了黄河才会死心吧?
可能我偏要一条路走到黑吧?
可能我还没遇见那个他吧?
可能我还没忘掉哪个他吧?
抖音
关于《可能否》曲谱的评论
奔跑吧
2018-09-24 15:47
曲谱错了 [回复]


