提示:在曲谱图片上单击右键,选择“图片另存为...”即可将曲谱保存到您的电脑中,打印时候可将图片插入到WORD中,调整合适大小打印即可。
《只要平凡》文本歌词
抖音
张杰 张碧晨 只要平凡
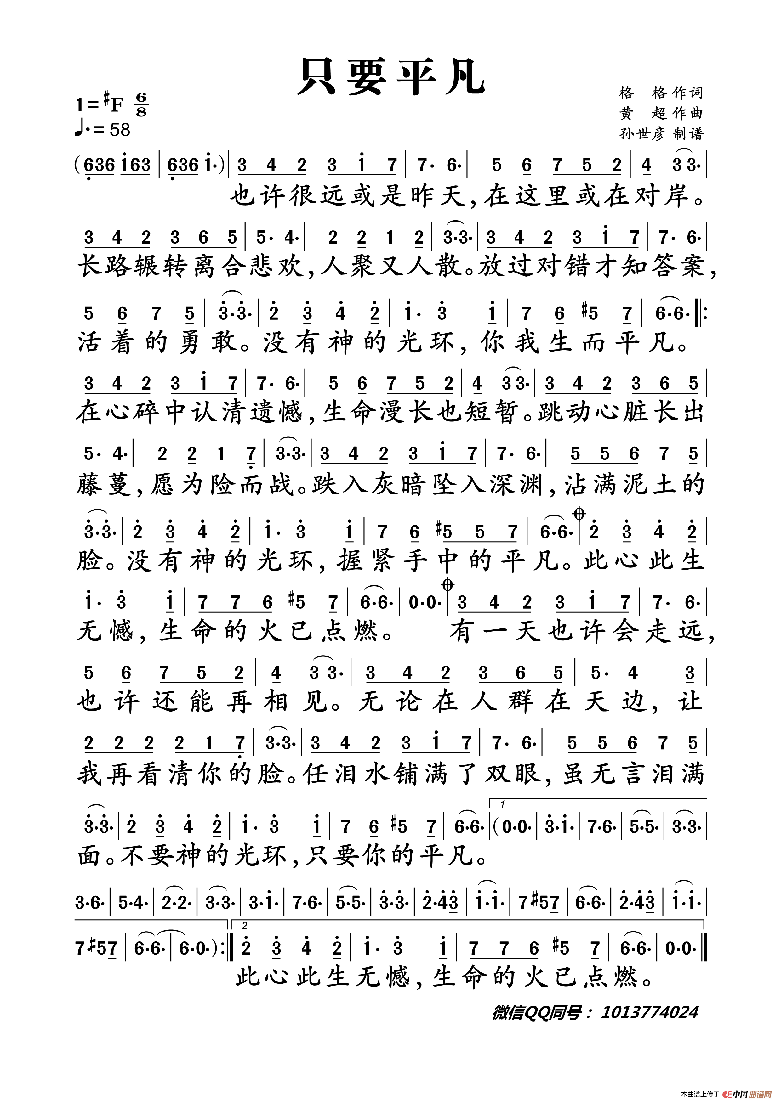
只要平凡 (电影《我不是药神》主题曲)
作词:格格
作曲:黄超
制谱:孙世彦
演唱:张杰 张碧晨
也许很远或是昨天,
在这里或在对岸。
长路辗转离合悲欢,
人聚又人散。
放过对错才知答案,
活着的勇敢。
没有神的光环,
你我生而平凡。
在心碎中认清遗憾,
生命漫长也短暂。
跳动心脏长出藤蔓,
愿为险而战。
跌入灰暗坠入深渊,
沾满泥土的脸。
没有神的光环,
握紧手中的平凡。
此心此生无憾,
生命的火已点燃。
有一天也许会走远,
也许还能再相见。
无论在人群在天边,
让我再看清你的脸。
任泪水铺满了双眼,
虽无言泪满面。
不要神的光环,
只要你的平凡。
在心碎中认清遗憾,
生命漫长也短暂。
跳动心脏长出藤蔓,
愿为险而战。
跌入灰暗坠入深渊,
沾满泥土的脸。
没有神的光环,
握紧手中的平凡。
有一天也许会走远,
也许还能再相见。
无论在人群在天边,
让我再看清你的脸。
任泪水铺满了双眼,
虽无言泪满面。
不要神的光环,
只要你的平凡。
此心此生无憾,
生命的火已点燃。
关于《只要平凡》曲谱的评论
此曲谱暂无评论,欢迎发表您的见解。


