提示:在曲谱图片上单击右键,选择“图片另存为...”即可将曲谱保存到您的电脑中,打印时候可将图片插入到WORD中,调整合适大小打印即可。
打谱:图块头
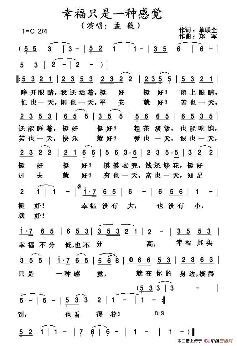
《幸福只是一种感觉》文本歌词
作词:单联全
作曲:郑军
演唱:孟薇
睁开眼睛
我还活着
挺好挺好
闭上眼睛
还能睡着
挺好挺好
粗茶淡饭
也能吃饱
挺好挺好
摸摸衣兜
钱还够花
挺好挺好
幸福没有大
也没有小
幸福不分低
也不分高
幸福其实只是
一种感觉
就在你的身边
摸得到
也看得着
忙也一天
闲也一天
平安就好
苦也一天
笑也一天
快乐就好
爱也一天
恨也一天
过去就好
穷也一天
富也一天
知足就好
幸福没有大
也没有小
幸福不分低
也不分高
幸福其实只是
一种感觉
就在你的身边
摸得到
也看得着
幸福没有大
也没有小
幸福不分低
也不分高
幸福其实只是
一种感觉
就在你的身边
摸得到
也看得着
关于《幸福只是一种感觉》曲谱的评论
此曲谱暂无评论,欢迎发表您的见解。


