提示:在曲谱图片上单击右键,选择“图片另存为...”即可将曲谱保存到您的电脑中,打印时候可将图片插入到WORD中,调整合适大小打印即可。
忠心虔诚的基督徒,为主付出。
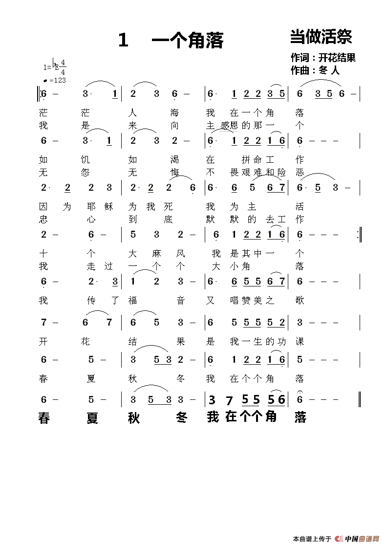
《一个角落》文本歌词
一个角落
作词;开花结果
作曲;冬人
编曲;开花结果
原唱;开花结果
茫茫人海我在一个角落,
如饥如渴在拼命工作,
因为耶稣为我死我为主活,
十个**风我是其中一个,
我是来向主感恩的那一个,
无怨无悔不畏艰难和险恶,
忠心到底默默的去工作,
我走过一个个大小角落。
我传了福音又唱赞美之歌,
开花结果是我一生的功课,
春夏秋冬我在各个角落,
春夏秋冬我在各个角落。
关于《一个角落》曲谱的评论
此曲谱暂无评论,欢迎发表您的见解。


