提示:在曲谱图片上单击右键,选择“图片另存为...”即可将曲谱保存到您的电脑中,打印时候可将图片插入到WORD中,调整合适大小打印即可。
关于《中华青少年进行曲第二版》曲谱的评论
张清辨
2019-07-15 22:53
请福建演艺明星姚晨教大中小学生共同演唱《中华青少年进行曲第二版》,为中国的青少年培养做贡献!谢谢!请联系张清辨教授 18959281256 [回复]
张清辨
2019-07-15 22:38
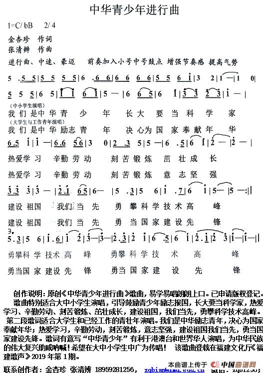
原创《中华青少年进行曲》歌曲,易学易唱朗朗上口。已申请版权登记。
歌曲特别适合大中小学生演唱,引导鼓励青少年励志报国,长大要当科学家,热爱学习、辛勤劳动、刻苦锻炼、茁壮成长,建设祖国,我们当先,勇攀科学技术高峰。
第二段歌词适合大学生和已经工作的青壮年演唱。我们是中华励志青年,决心为国家奉献年华;热爱学习,辛勤劳动,刻苦锻炼,意志坚强,建设祖国我们当先,勇当国家建设先锋。歌词有意写“中华青少年”有利于港澳台和世界华人演唱,为中华民族的伟大复兴助威呐喊!希望在大中小学生中广为传唱! [回复]


