提示:在曲谱图片上单击右键,选择“图片另存为...”即可将曲谱保存到您的电脑中,打印时候可将图片插入到WORD中,调整合适大小打印即可。
致谢:《中国曲谱网》衷心感谢作者老师馈赠原版歌谱!
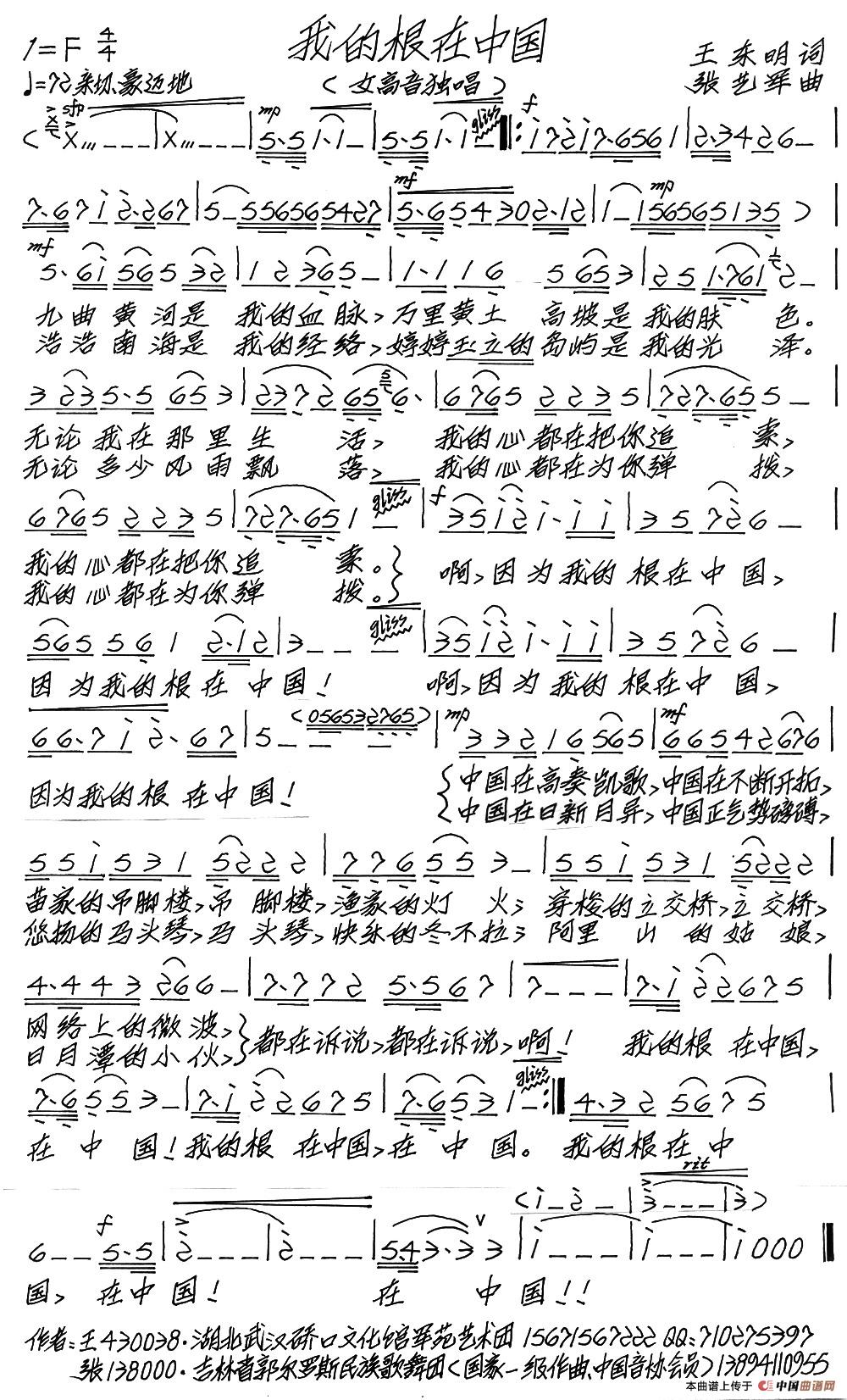
《我的根在中国》文本歌词
我的根在中国
九曲黄河是我的血脉
万里黄土高坡是我的肤色
无论我在哪里生活
我的心都在把你追索
我的心都在把你追索
啊!因为我的根在中国
因为我的根在中国
啊!因为我的根在中国
因为我的根在中国
中国在高奏凯歌
中国在不断开拓
苗家的吊脚楼、吊脚楼
渔家的灯火
穿梭的立交桥、立交桥
网络上的微波
都在诉说,都在诉说
啊!
我的根在中国,在中国
我的根在中国,在中国
浩浩南海是我的经络
婷婷玉立岛屿是我的光泽
无论多少风雨飘落
我的心都在为你弹拨
我的心都在为你弹拨
啊!因为我的根在中国
因为我的根在中国
啊!因为我的根在中国
因为我的根在中国
中国在日新月异
中国正气势磅礴
悠扬的马头琴、马头琴
快乐的冬不拉
阿里山的姑娘
日月潭的小伙
都在诉说,都在诉说
啊!
我的根在中国,在中国
我的根在中国,在中国
我的根在中国,在中国
关于《我的根在中国》曲谱的评论
此曲谱暂无评论,欢迎发表您的见解。


