提示:在曲谱图片上单击右键,选择“图片另存为...”即可将曲谱保存到您的电脑中,打印时候可将图片插入到WORD中,调整合适大小打印即可。
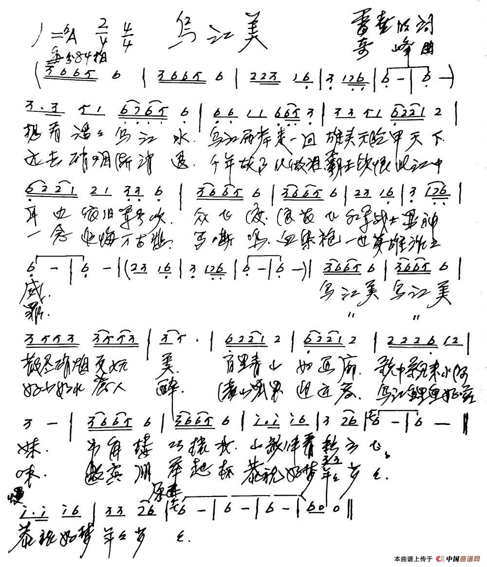
《乌江美》文本歌词
A1
想看滔滔一江水,
乌江两岸走一回;
雄关天险甲天下,
耳边依旧军号吹!
众飞渡 浪花飞 ,
红军战士显神威!
A2
远去硝烟渐消退,
千年故事化作泪;
霸王饮恨此江中,
一念追悔万古悲!
马嘶鸣 血染袍,
一世英名谁之罪!
B1
美乌江 乌江美,
散尽硝烟更妩媚。
百里青山如画廊,
歌中飘来小阿妹!
吊脚楼 巧梳妆,
山歌伴着彩云飞!
B2
美乌江 乌江美,
好山好水惹人醉。
满山瓜果迎远客,
乌江鲤鱼好滋味!
邀宾朋 举起杯,
恭祝好梦年年岁岁!
关于《乌江美》曲谱的评论
此曲谱暂无评论,欢迎发表您的见解。


