同喜同喜
提示:在曲谱图片上单击右键,选择“图片另存为...”即可将曲谱保存到您的电脑中,打印时候可将图片插入到WORD中,调整合适大小打印即可。
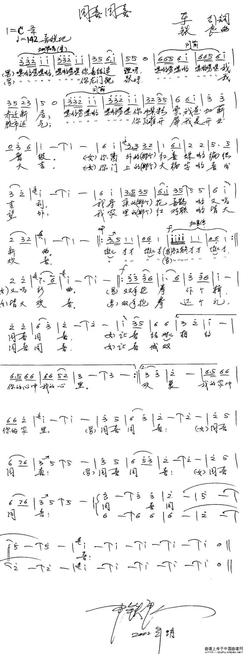
作者老师的手稿
你喜结连理我乔迁新居
你中奖彩票我加薪晋级
你窗外的红喜蛛编织吉利
我房顶的花喜鹊又唱新曲
你中奖彩票我加薪晋级
你窗外的红喜蛛编织吉利
我房顶的花喜鹊又唱新曲
你龙门跳跃我股市运气
你孔雀开屏我开业大吉
你门上的大福字喜出望外
我家里的红对联皆大欢喜
你孔雀开屏我开业大吉
你门上的大福字喜出望外
我家里的红对联皆大欢喜
双手抱拳作个揖
同喜同喜
让喜结对儿
相约你的心中我的心里
同喜同喜
让喜结对儿
相约你的心中我的心里
双手抱拳还个礼
同喜同喜
让喜成双儿
欢聚我的家中你的家里
同喜同喜
让喜成双儿
欢聚我的家中你的家里
关于《同喜同喜》曲谱的评论
此曲谱暂无评论,欢迎发表您的见解。


