提示:在曲谱图片上单击右键,选择“图片另存为...”即可将曲谱保存到您的电脑中,打印时候可将图片插入到WORD中,调整合适大小打印即可。
《你是我心中的七彩阳光》文本歌词
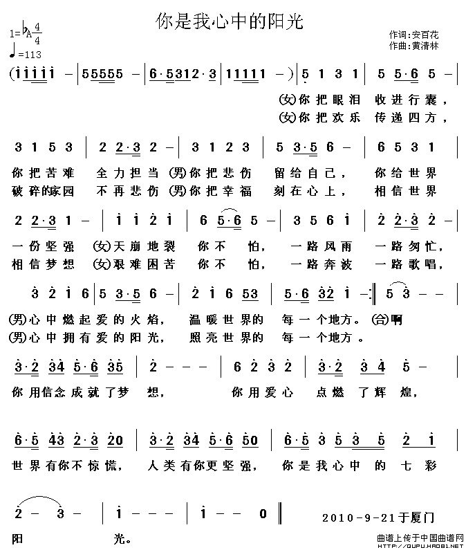
你是我心中的七彩阳光(二稿)
女:你把眼泪收进行囊
你把苦难全力担当
男:你把悲伤留给自己
你给世界一份坚强
女:天崩地裂你不怕
一路风雨一路匆忙
男:心中燃起爱的火焰
温暖世界的每一个地方
女:你把欢乐传递四方
破碎的家园不再悲伤
男:你把幸福刻在心上
相信世界相信梦想
女:艰难困苦你不怕
一路奔波一路歌唱
男:心中拥有爱的阳光
照亮世界的每一个地方
合:啊 你用信念成就了梦想
你用爱心点燃了辉煌
世界有你不惊慌
人类有你更坚强
你是我心中的七彩阳光
关于《你是我心中的七彩阳光》曲谱的评论
此曲谱暂无评论,欢迎发表您的见解。


