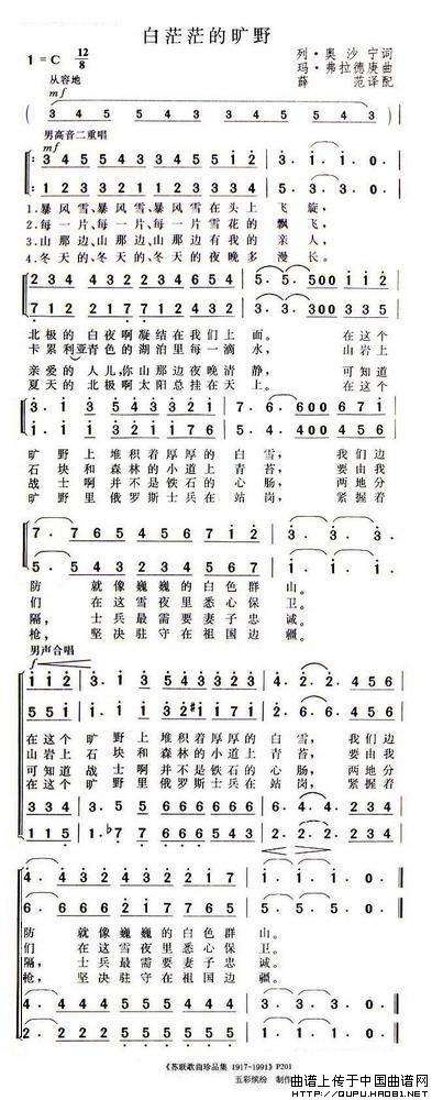
白茫茫的旷野(前苏联)
格式:简谱 来源:谱友瓦莲金娜 转发 上传:瓦莲金娜
日期:2010-04-18
浏览次数:
提示:在曲谱图片上单击右键,选择“图片另存为...”即可将曲谱保存到您的电脑中,打印时候可将图片插入到WORD中,调整合适大小打印即可。
关于《白茫茫的旷野》曲谱的评论
此曲谱暂无评论,欢迎发表您的见解。


![白茫茫的旷野(前苏联)(1)_原文件名:白茫茫的旷野[前苏联]1.jpg](/Public/Uploads/2010/0418/20100418114513856.jpg)