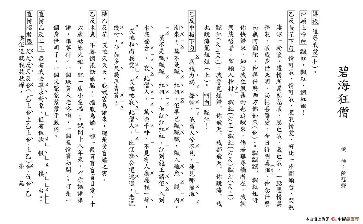
[粤曲]碧海狂僧(工尺谱)
来源:转自《红船粤剧网》 上传:车里子
日期:2015-08-18
浏览次数:
提示:在曲谱图片上单击右键,选择“图片另存为...”即可将曲谱保存到您的电脑中,打印时候可将图片插入到WORD中,调整合适大小打印即可。
关于《[粤曲]碧海狂僧》曲谱的评论
随风回忆
2019-03-16 11:15
老师们好:很想学这首曲,但是不看不懂工尺谱,希望有简谱,先感谢各位老师们。 [回复]


![[粤曲]碧海狂僧(工尺谱)(1)_原文件名:碧海狂僧_p1_调整大小.jpg](/Public/Uploads/2015/08/18/55d292cbd7618.jpg)
![[粤曲]碧海狂僧(工尺谱)(1)_原文件名:碧海狂僧_p3_调整大小.jpg](/Public/Uploads/2015/08/18/55d292ce07ce1.jpg)