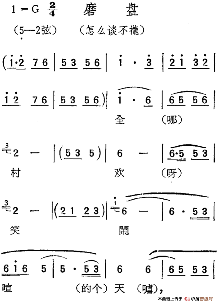
[扬剧曲调]磨盘(怎么谈不拢)
来源:中国曲谱网 上传:热爱音乐88
日期:2017-03-12
浏览次数:
提示:在曲谱图片上单击右键,选择“图片另存为...”即可将曲谱保存到您的电脑中,打印时候可将图片插入到WORD中,调整合适大小打印即可。
关于《[扬剧曲调]磨盘》曲谱的评论
此曲谱暂无评论,欢迎发表您的见解。


![[扬剧曲调]磨盘(怎么谈不拢)(1)_原文件名:[扬剧曲调]磨盘(怎么谈不拢).png](/Public/Uploads/2017/03/12/23794558c53558d7505.png)