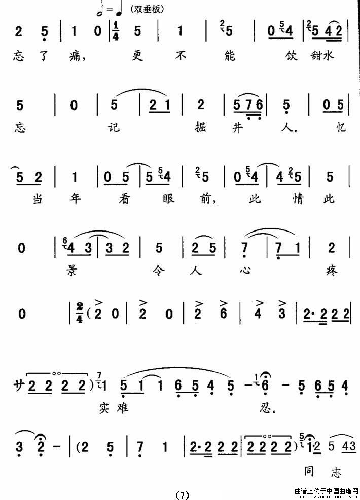
[秦腔]为人类求解放奋斗终身(《龙江颂》江水英唱段)
提示:在曲谱图片上单击右键,选择“图片另存为...”即可将曲谱保存到您的电脑中,打印时候可将图片插入到WORD中,调整合适大小打印即可。
关于《[秦腔]为人类求解放奋斗终身》曲谱的评论
此曲谱暂无评论,欢迎发表您的见解。


![[秦腔]为人类求解放奋斗终身(《龙江颂》江水英唱段)(1)_原文件名:[秦腔]为人类求解放奋斗终身1.jpg](/Public/Uploads/2011/1212/20111212035440101.jpg)
![[秦腔]为人类求解放奋斗终身(《龙江颂》江水英唱段)(1)_原文件名:[秦腔]为人类求解放奋斗终身3.jpg](/Public/Uploads/2011/1212/20111212035444443.jpg)
![[秦腔]为人类求解放奋斗终身(《龙江颂》江水英唱段)(1)_原文件名:[秦腔]为人类求解放奋斗终身5.jpg](/Public/Uploads/2011/1212/20111212035450828.jpg)
![[秦腔]为人类求解放奋斗终身(《龙江颂》江水英唱段)(1)_原文件名:[秦腔]为人类求解放奋斗终身7.jpg](/Public/Uploads/2011/1212/20111212035456115.jpg)