用户名:
密码:
记住我
免费注册
忘记密码?
收藏本站
|
网站帮助
|
谱友留言
|
上传曲谱
|
首页
将本站添加到百度新首页
首页
原创专栏
制谱园地
曲谱专辑
作者索引
电子书
乐谱软件
求谱
手机版
中国乐坛
曲谱资讯
曲谱论坛
声乐
民歌
通俗
美声
合唱
少儿
外国
器乐
钢琴
电子琴
手风琴
萨克斯
长笛
铜管
吉他
古筝古琴
笛箫
葫芦丝
胡琴谱
琵琶谱
扬琴
口琴
提琴
其他乐谱
戏曲
京剧
越剧
黄梅戏
花鼓戏谱
豫剧
评剧
二人转
其他唱谱
PDF
乐谱
声乐
钢琴
长笛
弦乐
吉他
其他
其他
手稿谱区
谱友记谱
谱友上传
歌曲和弦
曲谱搜索
所有类别
所有类别
民歌曲谱
通俗曲谱
美声曲谱
合唱曲谱
少儿曲谱
外国曲谱
戏曲曲谱
器乐乐谱
谱友园地
一周热搜:
天空之城
我和我的祖国
梁祝
我爱你中国
当前位置:
首页
原创专栏
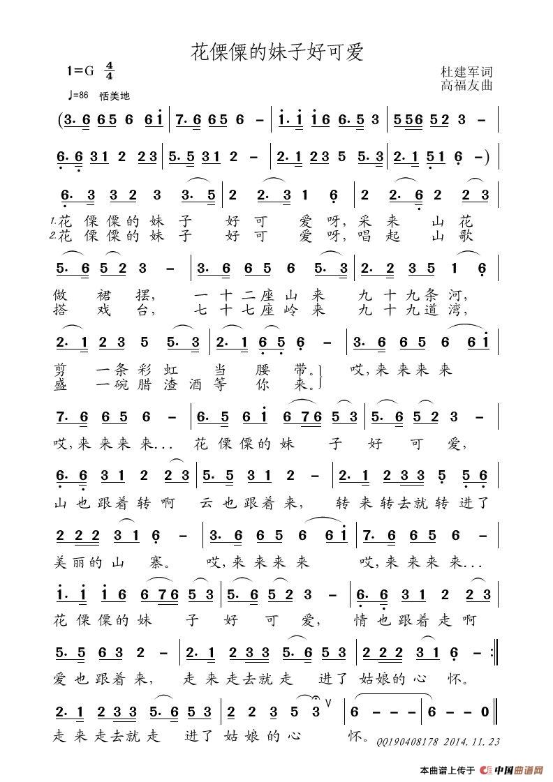
花傈僳的妹子好可爱
花傈僳的妹子好可爱
作词:
杜建军
作曲:
高福友
来源:
谱友高福友上传
上传:
高福友
日期:
2014-12-17
浏览次数:
发送到我的邮箱
打包下载
全屏查看
手机看谱
加入收藏
发表评论
提示:
在曲谱图片上单击右键,选择“图片另存为...”即可将曲谱保存到您的电脑中,打印时候可将图片插入到WORD中,调整合适大小打印即可。
点击查看剩余 1 张曲谱
关于《花傈僳的妹子好可爱》曲谱的评论
此曲谱暂无评论,欢迎发表您的见解。
发表评论
必须登录后才能发表评论,
还未注册?
您还未登录
用户名:
密码:
查看更多>>
高福友
的曲谱
[
原创曲谱
]
烟花三月下扬州
[
民歌曲谱
]
美丽的漓江河
[
个人园地
]
美丽的漓江河(红雨演唱版)
[
个人园地
]
美丽的漓江河(红雨演唱)
[
个人园地
]
醉乡愁(陈少杰词 高福友曲)
[
原创曲谱
]
石头 剪刀 布
[
原创曲谱
]
黄土情谣(二胡独奏曲)
[
原创曲谱
]
梅花吟(清风淡月词 高福友曲...
[
原创曲谱
]
故乡恋歌(春波词 高福友曲)
[
民歌曲谱
]
爱在桃花源(朱艳丽词 高福友...
[
原创曲谱
]
哥哥不再走西口
[
原创曲谱
]
摇一条小船游湖州
[
少儿曲谱
]
亲亲西藏(徐环宙词 高福友曲...
[
原创曲谱
]
梦落荷塘(清风淡月词 高福友...
[
民歌曲谱
]
太行 中国脊梁
相关曲谱
[
民歌曲谱
]
花傈僳的妹子好可爱
[
民歌曲谱
]
花傈僳
[
原创曲谱
]
花傈僳姑娘(佩芳 爱国)
[
谱友园地
]
军马场的花妹子
[
谱友园地
]
军马场的花妹子(2016版)
[
合唱曲谱
]
这么好的妹子见不上面
[
民歌曲谱
]
湘妹子,花裙摆
[
原创曲谱
]
大嘴圆脸花妹子(谜语歌曲)
[
原创曲谱
]
好可爱的小蜜蜂
[
民歌曲谱
]
好妹子
[
民歌曲谱
]
傈僳的山寨为你开
[
谱友园地
]
豫剧曲谱《好妹子莫流泪别心酸...
[
通俗曲谱
]
猪八戒呀好可爱
[
民歌曲谱
]
傈僳姑娘
[
民歌曲谱
]
傈僳边寨美如画
网站首页
|
手机版
|
PAD版
|
安卓客户端
|
关于本站
|
广告合作
|
免责声明
|
网站地图
|
网站xml地图
|
谱友留言
|
联系我们
Powered by Operncms 信息产业部备案号:
闽ICP备09023413号-2
版权声明:中国曲谱网所有曲谱及资料均为作者提供或网友推荐收集整理而来,仅供爱好者学习和研究使用,版权归原作者所有。
如本站内容有侵犯您的合法权益,请和我们取得联系,我们将立即改正或删除。
客服邮箱:juzi9859@qq.com