用户名: 密码: 免费注册 忘记密码?
收藏本站| 网站帮助| 谱友留言| 上传曲谱| 首页
陈普原创曲谱专栏
http://www.qupu123.com/space/167292
作品详情

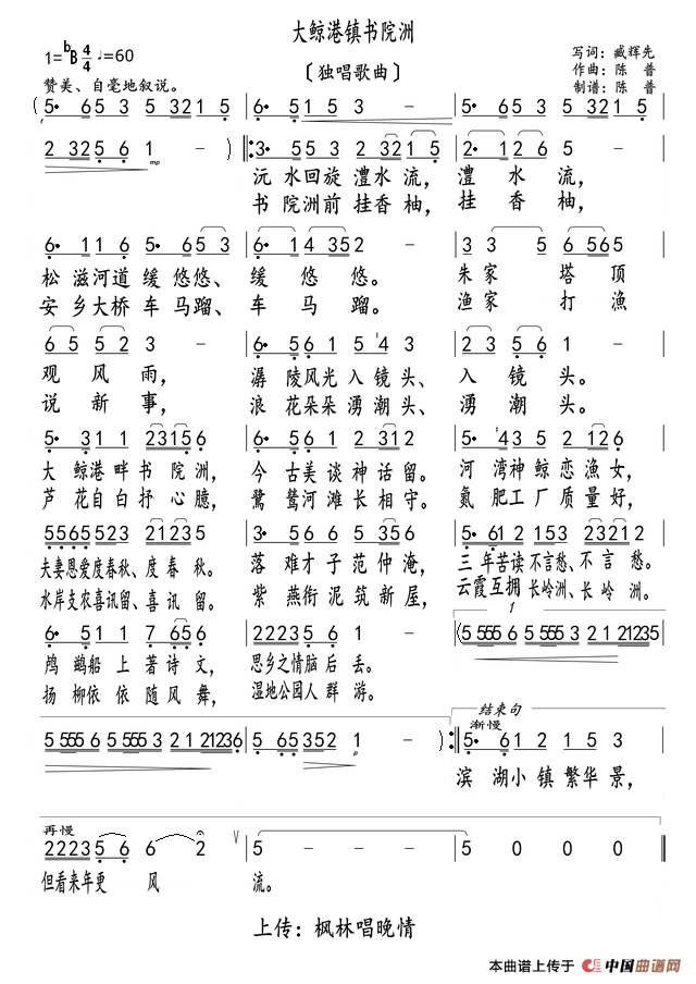
大鲸港镇书院洲(独唱歌曲)

作词:臧辉先   作曲:陈普   来源:原创   上传:枫林唱晚情   日期:2018-11-28   浏览次数:  
发送到我的邮箱 打包下载 全屏查看 手机看谱 加入收藏 发表评论
提示:在曲谱图片上单击右键,选择"图片另存为..."即可将曲谱保存到您的电脑中,打印时候可将图片插入到WORD中,调整合适大小打印即可。
大鲸港镇书院洲(独唱歌曲)(1)_原文件名:1672925bfde1fd402dd_副本.png
点击查看剩余 1 张曲谱
关于《大鲸港镇书院洲》曲谱的评论
臧辉先唐家铺 中国曲谱网  2018-11-28 10:04
旋律很动听。 [回复]
臧辉先唐家铺 中国曲谱网  2018-11-28 10:03
陈老师好,辛苦了,多谢了,合作愉快。 [回复]
发表评论 必须登录后才能发表评论,还未注册?
您还未登录 用户名: 密码:
Copyright © 2013 www.qupu123.com All Rights Reserved 陈普 版权所有 未经作者允许,请勿转载。