用户名: 密码: 免费注册 忘记密码?
收藏本站| 网站帮助| 谱友留言| 上传曲谱| 首页
开花结果多多原创曲谱专栏
http://www.qupu123.com/space/567133
作品详情

主日学【8页】(开花结果词 天堂美曲)

作词:开花结果   作曲:天堂美   来源:谱友开花结果多多上传   上传:开花结果多多   日期:2019-06-26   浏览次数:  
发送到我的邮箱 打包下载 全屏查看 手机看谱 加入收藏 发表评论
提示:在曲谱图片上单击右键,选择"图片另存为..."即可将曲谱保存到您的电脑中,打印时候可将图片插入到WORD中,调整合适大小打印即可。

引导小孩子从小行善,长大了不做损人利己事情,做一个合格公民,利国利民,很宝贵的耶稣基督教歌曲,应该大力传扬,感谢上帝的恩典,求上帝祝福各国各民族。


顺便说下,哪个国家信耶稣人多,上帝就多祝福哪个国家,反之,上帝发怒降灾祸惩罚。

主日学【8页】(开花结果词 天堂美曲)(1)_原文件名:8页【耶稣爱小孩】.JPG
点击查看剩余 1 张曲谱

《主日学【8页】》文本歌词

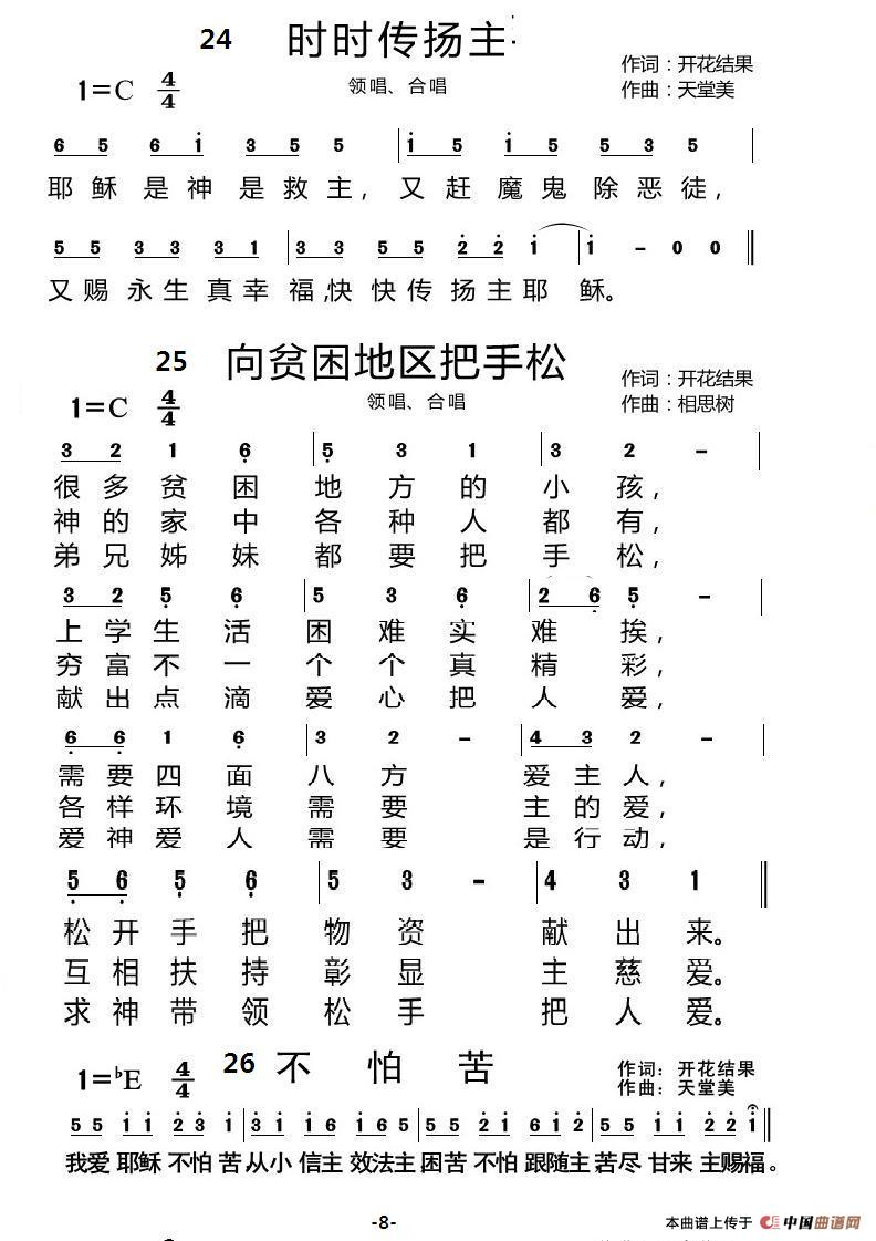
24时刻传扬主

作词 开花结果

作曲 天堂美

耶稣是神是救主,

又赶魔鬼除恶徒,

又赐永生真幸福,

快快传扬主耶稣。


25向贫困地区把手松

作词 开花结果

作曲 相思树

1很多贫困地方的小孩,

上学生活困难实难挨,

需要四面八方爱主人,

松开手把物资献出来。


2神的家中各种人都有,

穷富不一个个真精彩,

各样环境需要主的爱,

互相扶持彰显主慈爱。


3弟兄姊妹都要把手松,

献出点滴爱心把人爱,

爱神爱人需要是行动,

求神带领松手把人爱


。26不怕苦

作词 开花结果

作曲 天堂美


我爱耶稣不怕苦,

从小信主效法主,

困苦不怕跟随主,

苦尽甘来主赐福。



关于《主日学【8页】》曲谱的评论
此曲谱暂无评论,欢迎发表您的见解。
发表评论 必须登录后才能发表评论,还未注册?
您还未登录 用户名: 密码:
Copyright © 2013 www.qupu123.com All Rights Reserved 开花结果多多 版权所有 未经作者允许,请勿转载。