用户名: 密码: 免费注册 忘记密码?
收藏本站| 网站帮助| 谱友留言| 上传曲谱| 首页
开花结果多多原创曲谱专栏
http://www.qupu123.com/space/567133
作品详情

主日学【10页】(开花结果词 天堂美曲)

作词:开花结果   作曲:天堂美   来源:谱友开花结果多多上传   上传:开花结果多多   日期:2019-06-29   浏览次数:  
发送到我的邮箱 打包下载 全屏查看 手机看谱 加入收藏 发表评论
提示:在曲谱图片上单击右键,选择"图片另存为..."即可将曲谱保存到您的电脑中,打印时候可将图片插入到WORD中,调整合适大小打印即可。
带领孩子走向平安的福乐之路,就是基督教歌词,感谢主的带领,大人小孩信耶稣得平安,得享永生美福。
主日学【10页】(开花结果词 天堂美曲)(1)_原文件名:10页【耶稣爱小孩】.JPG
点击查看剩余 1 张曲谱

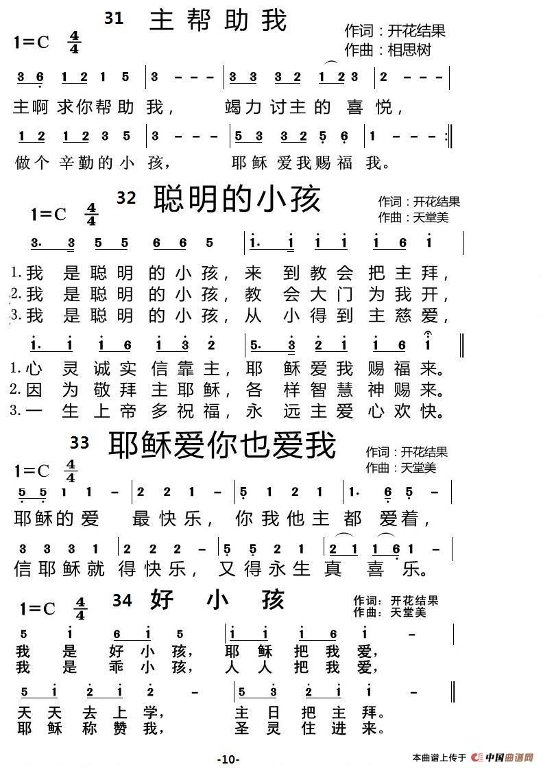
《主日学【10页】》文本歌词


31主帮助我

作词 开花结果

作曲 相思树

主啊求你帮助我,

竭力讨主的喜悦,

做个辛勤的小孩,

耶稣爱我赐福我。


32聪明的小孩

作词 开花结果

作曲 天堂美


我是聪明的小孩,

来到教会把主拜,

心灵诚实信靠主,

耶稣爱我赐福来。

我是聪明的小孩,

教会大门为我开,

因为敬拜主耶稣,

各样智慧神赐来。

我是聪明的小孩,

从小得到主慈爱,

一生上帝多祝福,

永远主爱心欢快。


33耶稣爱你也爱我

作词 开花结果

作曲 天堂美


耶稣的爱最快乐,

你我他主都爱着,

信耶稣就得快乐,

又得永生真喜乐。


34好小孩

作词 开花结果

作曲 天堂美我是好小孩,

耶稣把我爱,

天天去上学,

主日把主拜。

我是乖小孩,

人人把我爱,

耶稣称赞我,

圣灵住进来。


关于《主日学【10页】》曲谱的评论
此曲谱暂无评论,欢迎发表您的见解。
发表评论 必须登录后才能发表评论,还未注册?
您还未登录 用户名: 密码:
Copyright © 2013 www.qupu123.com All Rights Reserved 开花结果多多 版权所有 未经作者允许,请勿转载。