提示:在曲谱图片上单击右键,选择“图片另存为...”即可将曲谱保存到您的电脑中,打印时候可将图片插入到WORD中,调整合适大小打印即可。
谱友论坛上传了原唱、伴奏及全套资料:http://bbs.qupu123.com/thread-10076-1-1.html
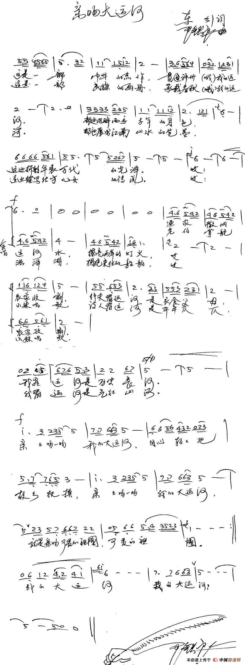
《亲吻大运河》文本歌词
亲吻大运河
词:车行
曲:尹铁良
这是一部中华的杰作
贯穿神州我的运河
那边沉醉西子千年的月色
这边折射华表万代的光泽
运河水擦亮两岸的灯火
渔家撒网农家收割
纤夫看运河是衣食父母
我看运河是历史长河
这是一部民族的画册
承载春秋我的运河
那边展出江南山水的笔墨
这边续写北方儿女的传说
洪泽湖拥抱来往的船舶
老伯掌舵小妹唱歌
诗人看运河是平平仄仄
我看运河是气壮山河
亲亲吻一吻我的大运河
用心轻轻把故乡抚摸
亲亲吻一吻我的大运河
就是亲吻可爱的祖国
关于《亲吻大运河》曲谱的评论
此曲谱暂无评论,欢迎发表您的见解。


