用户名:
密码:
记住我
免费注册
忘记密码?
收藏本站
|
网站帮助
|
谱友留言
|
上传曲谱
|
首页
小花儿357
原创曲谱专栏
http://www.qupu123.com/space/808226
作品查找:
首页
作者简介
作品列表
留言版
手机版
返回曲谱网
作品详情
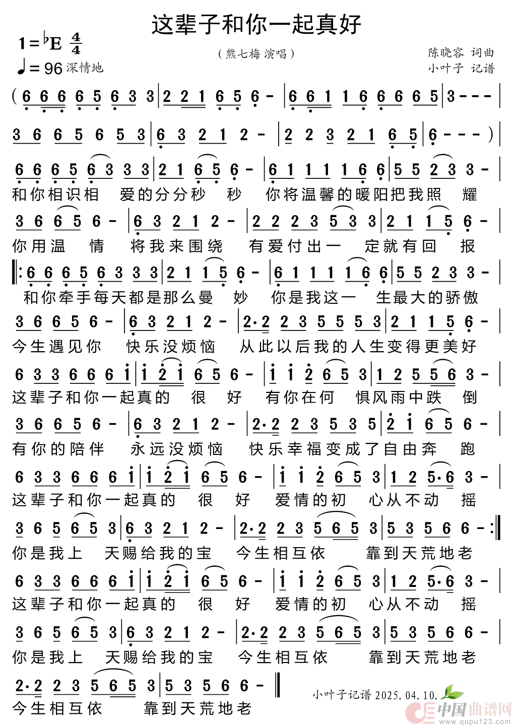
这辈子和你一起真好
作词:
陈晓容
作曲:
陈晓容
演唱(奏):
熊七梅
来源:
简谱网
上传:
小花儿357
日期:
2025-04-10
浏览次数:
发送到我的邮箱
打包下载
全屏查看
手机看谱
加入收藏
发表评论
提示:
在曲谱图片上单击右键,选择"图片另存为..."即可将曲谱保存到您的电脑中,打印时候可将图片插入到WORD中,调整合适大小打印即可。
点击查看剩余 1 张曲谱
关于《这辈子和你一起真好》曲谱的评论
此曲谱暂无评论,欢迎发表您的见解。
发表评论
必须登录后才能发表评论,
还未注册?
您还未登录
用户名:
密码:
Copyright © 2013
www.qupu123.com
All Rights Reserved 小花儿357
版权所有 未经作者允许,请勿转载。